2x y ge 61 solution(s) found {x,y}={1,4} See steps Step by Step Solution System of Linear Equations entered 1 2x y = 6 2 2x y = 2 Graphic Representation of the Equations y 2x = 6 y 2x = 2 Solve by Substitution // Solve equation 2 for the variable y 22 12 96 110 Brilliant_brown 7 °°°4°°°2°°°18°°°°°°38 •3
2x Y 6 And X Y 2 By Cross Multiplication Brainly In
Solve graphically the pair of equations 2x+y=6 2x-y+2=0
Solve graphically the pair of equations 2x+y=6 2x-y+2=0-Graphically, solve the following pair of equations2x y = 6 and 2x – y 2 = 0 Find the ratio of the areas of the two triangles formed by the lines representing these equations with the xaxis and the lines with the yaxis Post Answer Answers (1) I infoexpert27 Solution Here the equations are 2x y = 6, 2x – y = –2 2x y = 6 x 0 3 y 6 0 2x – y = –2 x 01 y 2 0Graph y=62x Reorder and Use the slopeintercept form to find the slope and yintercept Tap for more steps The slopeintercept form is , where is the slope and is the yintercept Find the values of and using the form The slope of the line is the value of , and the yintercept is the value of Slope yintercept Slope yintercept Any line can be graphed using two points Select



5 6 Graphing Linear Inequalities In The Coordinate Plane Ppt Download
1 solution(s) found {y,x}={2,2} See steps Step by Step Solution System of Linear Equations entered 1 y=2x2 2 2xy=6 Equations Simplified or Rearranged 1 y 2x = 2 2 y 2x = 6 Graphic Representation of the Equations 2x y = 2 2x y = 6🔴 Answer 3 🔴 on a question The equation of the graphed line is 2x y = 6 What is the xintercept of the graph? How do you graph #2xy=6#?
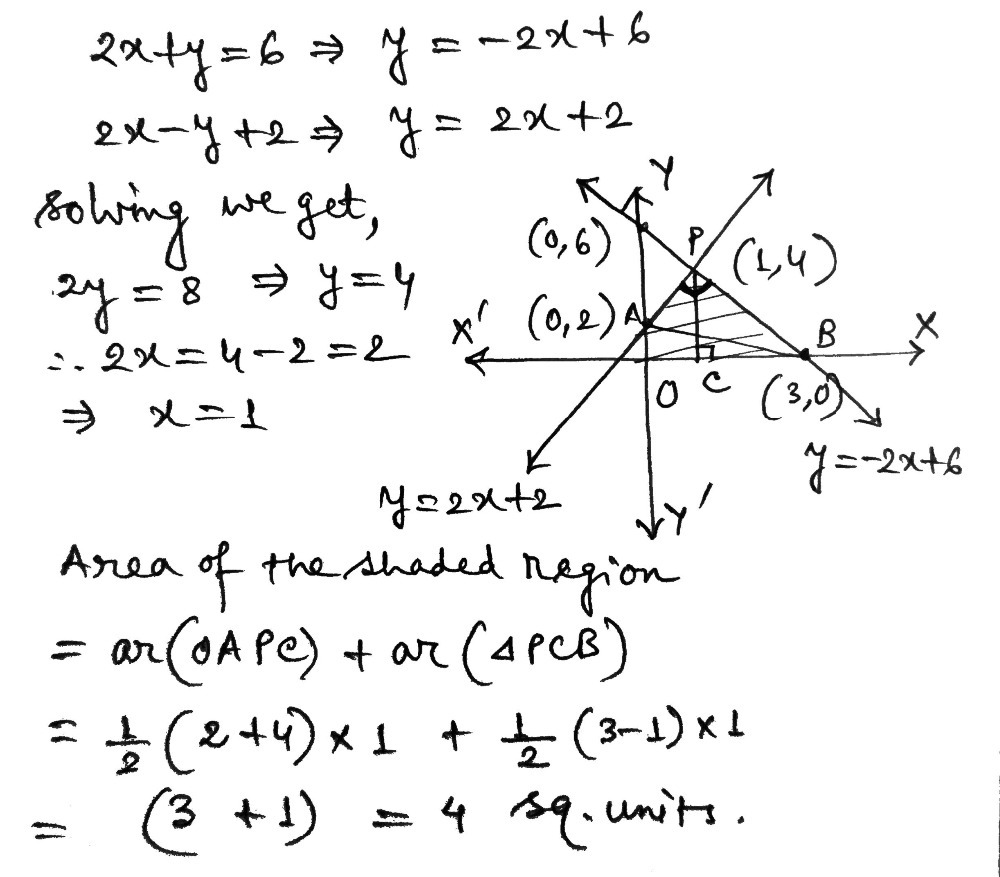
Draw the graph of the equation 2x y = 6 Shade the region bounded by the graph and the coordinate axes Also, find the area of the shaded region Advertisement Remove all ads Solution Show Solution We have 2x y= 6 y = 6 2x (1) Putting x = 3 in (1) , we get y = 6 2 × 3 = 0 Putting x = 0 in (1) , we get y = 6 2 × 0 = 6 Thus, we obtained the following table giving1 solution(s) found {x,y}={1,4} See steps Step by Step Solution System of Linear Equations entered 1 2x y = 6 2 2x y = 2 Graphic Representation of the Equations y 2x = 6 y 2x = 2 Solve by Substitution // Solve equation 1 for the variable ySolve your math problems using our free math solver with stepbystep solutions Our math solver supports basic math, prealgebra, algebra, trigonometry, calculus and more
Correct answer Draw the graph of 2x y=6 and 2x y2=0 shade the region bounded by these lines annd x axis find the area of shaded region eanswersincomIn this math video lesson I show the student how to graph the equation 2xy=4 This equation is in standard form and I covert that to slope intercept form t Now, we plot the points D(0,2), E(1,0) and F(1,4) on the same graph paper We join D,E and F and extend it on the both sides to obtain the graph of the equation 2x y 2 = 0 It is evident from the graph that the two lines intersect at point F(1,4) The area enclosed by the given lines and xaxis is shown in Fig above



Solution Solve The System Of Equations By Graphing Y 2x 2 6x Y 6



Graphing Inequalities Solutions Examples Videos
In this video I show you how to graph the line y = 2x 2If you want your question answered in that next video, email it to mathhelpchannel@gmailcom in teDraw the graph of 2xy=6 and 2xy2=0 and find the solution from the graph The graph of linear equatio 2xy=6 will pass through which quadrants(s) Draw the graph of each of the following linear equations in two variables xy=6 (ii) y=2xClick here 👆 to get an answer to your question ️ 2xy=6,2xy=2 find the graph of equations reshmisingh05 reshmisingh05 Math Secondary School answered 2xy=6,2xy=2 find the graph of equations 1 See answer reshmisingh05 is waiting for your help Add your answer and earn points sriAk123 sriAk123



Graph Each Of The Following A 2x Y 6 C 5x 2y Chegg Com



Graphically Solve The Following Pair Of Equations 2x Y 6 And 2x Y 2 0 Find The Ratio Of The Areas Youtube
Y=2x2;2xy=6 This deals with linear equations with two unknowns Overview;Click here👆to get an answer to your question ️ Draw the graph of 2x y = 6 and 2x y 2 = 0 Shade the region bounded by these lines and x y Find the area of the shaded region2xy=6;2xy=2 This deals with linear equations with two unknowns Overview;



Which Of The Following Pairs Of Linear Equations Are Consistent Inconsistent If Consistent Obtain The Solution Graphically 2x Y 6 0 4x 2y 4 0 Mathematics Shaalaa Com



Solve The Following System Of Inequalities Graphically 2x Y 6 3x 4y 12 Sarthaks Econnect Largest Online Education Community
Topics Terms and topics;Topics Terms and topics;Click here👆to get an answer to your question ️ Draw the graph of the equation 2x y = 6 Shade the region bounded by the graph and the coordinate axes Also, find the area of the shaded region



Ex 6 2 6 Solve 2x 3y 6 Graphically Chapter 6 Class 11



1
2x Y 6 On A Graph, SOLUTION graph the equation y 3x=0, How do you graph the parabola y = (x 2)^2 2 using vertex, Exponential Fourier Series Example #3 , How to find inverse function of x 1/x , given that f(xWhat is the graph of 2x y = 6 Mathematics Answer Comment 2 answers Alchen 17 4 months ago 4 0 3 would be my answer Send Gennadij 26K 4 months ago 3 0 (0,6) and (1,4) plot the points and draw a line Send You might be interested in What is the remainder when (4x3 2x2 − 18x 38) ÷ (x 3)?Solve your math problems using our free math solver with stepbystep solutions Our math solver supports basic math, prealgebra, algebra, trigonometry, calculus and more



1



Draw The Graphs Of The Following Equations On The Same Graph Paper 2x Y 2
Graph the given system of linear equation {2xy=6 {2xy=2 {y=x3 {y=X1 {4x4y=12 {xy=3 salcedoray is waiting for your help Add your answer and earn points New questions in Math EQ = RawScore * 50/PerfectScore *50% = EQ * % Pleas help i need answers ASAP auto brainly and 5 star for the correct answers ActivitiesWork on your notebook Follow theGraphically, solve the following pair of equations 2xy=6 and 2xy2=0 Find the ratio of the areas of the two triangles formed by the lines representing thesSimple and best practice solution for 2xy=6;2xy=2 Check how easy it is, to solve this system of equations and learn it for the future Our solution is simple, and easy to understand, so don`t hesitate to use it as a solution of your homework



Draw The Graph Of 2x Y 6 And 2x Y 2 0 Shade The Region Bounded By These Lines And X Axis Find The Area Of The Shaded Region Sarthaks Econnect Largest Online Education Community



Graph 2x 3y 6 Youtube
2x − y = 6 5x 10y = −10 −2 2 Answers 3 Show answers Another question on Mathematics Mathematics, 1500 Pj is decorating pupcakes for rocky's birthday party her color scheme is black, purple, and green she will use this spinner to determine the color of👍 Correct answer to the question Graph the system on the next slide 2x y> 2 2x 5y 6 Select all points Also du nimmst die erste Gleichung 2x y = 6, und rechnest 2x y= 6 \y 2x=6y \2 x=3y/2 so, dann nimmst du die zweite Gleichung, und setzt das obere da ein 3xy=7,5 \ einsetzten 3(3y/2) y = 7,5 91,5y y = 7,5 \ 91,5y y = 1,5 \*(2) y=3 jetzt musst du beides überprüfen, aber vorher x= 3y/2 x= 31,5 x= 1,5 So jetzt 2xy = 6 33 = 6 3xy=7,5 4,53 =Solve your math problems using our free math solver with stepbystep solutions Our math solver supports basic math, prealgebra, algebra, trigonometry, calculus and more



1



The Graph Of The Linear Equation 2x 3y 6 Cuts The Y Axis At The Point
Y = k − p y = k p Substitute the known values of p p and k k into the formula and simplify y = 11 2 y = 11 2 y = 11 2 y = 11 2 Use the properties of the parabola to analyze and graph the parabola Direction Opens Up Vertex ( 1 2, 23 4) ( 1 2, 23 4) Focus ( 1 2, 6) ( 1 2, 6) Axis of Symmetry x = 1 2 x = 1 2Algebra Graphs of Linear Equations and Functions Graphs Using SlopeIntercept Form 1 Answer Jim G #"see explanation"# Explanation #"one way is to find the intercepts, that is where the graph"# #"crosses the x and y axes"# #• " let x = 0, in the equation for yintercept"# #• " let y = 0, in the equation for xintercept"# #x=0to0yGraph y=2x6 y = 2x − 6 y = 2 x 6 Use the slopeintercept form to find the slope and yintercept Tap for more steps The slopeintercept form is y = m x b y = m x b, where m m is the slope and b b is the yintercept y = m x b y = m x b Find the values of m m and b b using the form y = m x b y = m x b



The Graph Of The Linear Equation 2x Y 4 Cuts X Axis At



Solution Graph 2x Y 4 2x Y 6
2xy=6,2xy=2 This deals with linear equations with two unknowns Overview;Simple and best practice solution for 2xy=6 equation Check how easy it is, and learn it for the future Our solution is simple, and easy to understand, so don`t hesitate to use it as a solution of your homework If it's not what You are looking for type in the equation solver your own equation and let us solve it Equation SOLVE Solution for 2xy=6 equation Simplifying 2x y = 6 SolvingTopics Terms and topics;



R D Sharma Class 10 Solutions Maths Chapter 3 Pair Of Linear Equations In Two Variables Exercise 3 2



Draw The Graph Of Thr Equation 2x 3y 6 0 Brainly In
Solve your math problems using our free math solver with stepbystep solutions Our math solver supports basic math, prealgebra, algebra, trigonometry, calculus and moreSolve your math problems using our free math solver with stepbystep solutions Our math solver supports basic math, prealgebra, algebra, trigonometry, calculus and more👍 Correct answer to the question Draw graph for 2xy =6 and 2xy 2=0 eanswersin



How Do You Solve A System Of Equations By Graphing Printable Summary Virtual Nerd



5 6 Graphing Linear Inequalities In The Coordinate Plane Ppt Download
Graph 2xy=6 2xy=2 To graph linear equation, Slope intercept form of the equation can help us y = mx b, where m = slope and b = yintercept 1 Rewrite 2x y = 6 to slope intercept form y = 2x 6 m = 2 and b = 6 or y intercept = 6, point is located (0,6) To graph this Locate the first point (yintercept) (0,6) With the help of slope you will be able to find the second point draw a Transcript Ex62, 2 Solve the given inequality graphically in twodimensional plane 2x y 6 2x y 6 Lets first draw graph of 2x y = 6 Drawing graph Checking for (0,0) Putting x = 0, y = 0 2x y 6 2(0) (0) 6 0 6 which is false So, we shade right side of line Hence origin does not lie in plane 3x 2y > 6Graph 2xy=6 2x − y = 6 2 x y = 6 Solve for y y Tap for more steps Subtract 2 x 2 x from both sides of the equation − y = 6 − 2 x y = 6 2 x Multiply each term in − y = 6 − 2 x y = 6 2 x by − 1 1 Tap for more steps Multiply each term in − y = 6 − 2 x y = 6 2 x by − 1 1



Draw The Graph Of The Following Equations 2x Y 2 0 4x 3y 24 0 Y 4 0 Obtain The Vertices Of The Triangle So Obtained Also Determine Its Area Snapsolve



Solve 2x Y 6 2x Y 2 By Graph Geogebra
Graph y=2x^26 y = 2x2 − 6 y = 2 x 2 6 Find the properties of the given parabola Tap for more steps Rewrite the equation in vertex form Tap for more steps Complete the square for 2 x 2 − 6 2 x 2 6 Tap for more steps Use the form a x 2 b x c a x 23 2 2 6 the answers to answerhelpercom2XY=6 Y= 1,3X1 Graph the system below and write its solution 2XY=6 Y= 1,3X1 Draw the graph of 2xy=6 and 2xy2=0 and find the solution from the graph Draw graph of y=3x5 by=2x1 Represent the following system of linear equations graphically From the graph, find the points wher The graph of the equation y=2x^(2)3x1 intersect the line y=0 at Solve (i) 8/(x2y)3/(2x



The Graphing Method Topic Ppt Video Online Download



Draw A Graph Of Equation 2x Y 6 And X Y 2 And Find The Area Of Triangle So Formed Maths Linear Equations In Two Variables Meritnation Com
Draw the graphs of the lines 2x y = 6 and 2x y 2 = 0 Shade the region bounded by these lines and the x axis Find the area of the shaded region Please scroll down to see the correct answer and solution guide Right Answer is SOLUTION ABC is the region bounded by the given lines and the xaxis The solution of the given pair of equations is the point where the two linesGiven 2x y = 6, solve for y A) y = 2x 6 B) y = 2x 6 C) y = 2x 6 D) y = 2x 6 For the equations given below, tell the nature of graphs (a) y =2x^(2) (b) y =4x^(2) 6 (c) y = 6 Solve graphically 2xy ge 6 2x y ge 6 Solve xyz=2 2xyz=6 3x2y2z=6 Solve graphically 2xy ge 4, xy le 3, 2x3y le 6 x ge 0, y ge 0 The following are the steps involved in factorizing 64Draw the graph of 2xy=6 and 2xy2=0 and find the solution from the graph The graph of the linear equation 2x3y=6 cuts the Yaxis at the point What is the angle between two planes 2xyz=4 and xy2z=6 ?



Example 4 Check Whether Equations X 3y 6 And 2x 3y



File Intercept Form Example1 Png Wikimedia Commons
3xy = 4, 2xy = 6 \square!The graph of time 2x 3y = 12 intersect with y axis at B ( 0 , 4 ) and the graph of the line x y = 1 intersect with y axis at c ( 0 , 1) So, the vertices of the triangle formed by thee two straight lines and y axis are A (3 ,2 ) and B ( 0 4 ) and C ( 0 , 1) Now ,Match the equation with its graph 2 x^2y^2 2x2y2 = 0 3 16x^2 4y^2 64x 12y 57 = 0 4 2x^2 2y^2 60y63 = 0 6 4x^2



At Which Point Will The Graphs Of The Equations 2x Y 8 And X Y 4 Intersect Mathskey Com



2x 또 3x Y 2r 1 12 Y 2x 1 2y 4x 2 14 Y X 2 Chegg Com



Draw The Graph Of 2x Y 6 And 2x Y 2 0 Shade The Region Bounded By These Lines With X Axis Find The Area Of The Shaded Region Mathematics Topperlearning Com p26nrmm



Ex 3 A Q15 X 2y 2 0 2x Y 6 0 Solve Each Of The Following Given Systems Of



2x Y 6 And X Y 2 By Cross Multiplication Brainly In



3x 2y 2 And 2x Y 6 Draw A Graph For It Brainly In



Rd Sharma Class 10 Solutions Maths Chapter 3 Pair Of Linear Equations In Two Variables Exercise 3 2



Determine By Drawing Graphs Whether The Following System Of Linear Equations Has A Unique Solution Or Not 2y 4x 6 2x Y 3 Snapsolve



Solve Graphically The System Of Linear Equations 4x 5y 16 0 And 2x Y 6 0 Determine The Vertices Of The Triangle Formed By These Lines And The X Axis Snapsolve



Draw The Graphs Of 2x Y 6 And 2x Y 2 0 And Shade The Region Bounded By These Lines X Axis Youtube



Draw The Graph Of The Equation 2x Y 3 0 Using The Graph Find The Value Of Y When A X 2 B X 3



Graph Graph Equations With Step By Step Math Problem Solver



Draw The Graph Of 2x Y 6 0 And 2x Y 2 Also Find The Area Of The Triangle Formed By The Above Lines Maths Linear Equations In Two Variables Meritnation Com



Draw The Graph Of The Equations 2x Y 6 0 And 2x Y 6 0 Also Determine The Coordinates Of The Vertices Of The Triangle Formed By These Lines And The X Axis



Draw The Graph Of Equation 2x Y 6 Find The Coordinates Of The Points Where The Graph Cuts The X Axis Maths Coordinate Geometry Meritnation Com



Draw The Graphs Of The Following Equations 2x 3y 6 2x 3y 18 Y 2 Find The Vertices Of The Triangles Formed And Also Find The Area Of The Triangle Mathematics Shaalaa Com



R D Sharma Class 10 Solutions Maths Chapter 3 Pair Of Linear Equations In Two Variables Exercise 3 2



Draw The Graph For The Equation 2x Y 6 Find The Coordinates Of The Point At Which The Both Axes Also Brainly In



Q 38 Graphically Solve The Following Pair Of Equations 2x Y 6 2x Y 2 Maths Coordinate Geometry Meritnation Com



Solve Graphically The Following System Of Linear Equation 2x Y 6 X 2y 2 Also Find The Co Ordinates Of The Points Where The Lines Meet The A Axis From



Ex 6 3 7 Solve 2x Y 8 X 2y 10 Graphically Ex 6 3



Draw The Graphs Of The Lines 2x Ty 6 And 2x Y 2 0 Shade The Scholr



Solution 1 Plot The Graph Of The Equation 2x 3y 6 And 2x Y 10 And Intercept The Result 2 Plot The Graph Of The Equations 2x 4y 10 And 3x 6y 12 And Intercept The Result 3 Determin



Linear Equations In Two Variables Graphing Linear Equations



Class 10 Mathematics Chapter 3 Ncert Exemplar Solution Part Iva



How Do You Graph The Inequality 2x Y 6 Socratic



Graph Graph Equations With Step By Step Math Problem Solver



Draw The Graph Of The Pair Of Equations 2x Y 4 And 2x Y 4 Studyrankersonline



How To Graph Y 6 2x With Given Scale And Domain Youtube



Solving Simultaneous Equations The Substitution Method And The Addition Method Algebra Reference Electronics Textbook



Draw The Graphs Of 2x Y 6 And Y 2x 2 Intersecting X And Y Axes In The Points Youtube



Solve Each System Algebraically Check Your Solution By Grap Scholr



The Graph Of The Linear Equation 2x 3y 6 Cuts The Y Axis At The Point Youtube



X 2 Y 2 Z 2 0 Graph Dawonaldson



Draw The Graphs Of 2x Y 6 And 2x Y 2 0 Shade The Region Bounded By These Lines And X Axis Find The Area Of The Shaded Region



Solve Graphically The System Of Equations X 2y 2 0 2x Y 6 0 Find The Coordinates Of The Vertices Of The Triangle Formed By These Two Lines And The X Axis Mathematics Shaalaa Com



72 94 Systems Of Linear Equation In Two Variables System Of Linear Equations Equations



Graph A Linear Equation Graph 2x 3y 12 Solve For Y So The Equation Looks Like Y Mx B 3y 2x 12 Subtract 2x To Both Sides Y X 4 Divide Ppt Download



Solved Draw The Graphs Of The Following Equations On The Same Self Study 365



Draw Graphs For Following Equations On The Same Graph Paper 2x Y 2 2x Y 6 Find Co Ordinates Of The Vertices Of Trapezium Formed By These Lines Also



Draw The Graph Of The Pair Of Equations 2x Y 4 And 2x Y 4 Studyrankersonline



3 Y 6 Cheap Online



The Graph Of The Linear Equation 2x 3y 6 Is A Line Which Meets The X Axis At The Point



Ex 6 2 2 Solve 2x Y 6 Graphically Chapter 6 Class 11



Rd Sharma Class 10 Solutions Maths Chapter 3 Pair Of Linear Equations In Two Variables Exercise 3 2



How Do You Graph The System Of Linear Inequalities 2x Y 6 And Y 2 Socratic



Vxhwptqvtsrizm



Graphical Method Of Solving Linear Equations In Two Variables A Plus Topper



Draw The Graph Of Equation 2x Y 6 And 2x Y 2 0 Shade The Region Formed By These Lines And X Axis And Find Maths Pair Of Linear Equations In Two Variables



Ex 6 3 3 Solve 2x Y 6 3x 4y 12 Graphically



4 Graph The System Of Linear System Of Inequalities Chegg Com



Graphically Solve The Following Pair Of Equations 2x Y 6 2x Y 2 0 Find The Ratio Of The Areas Of The Two Triangles Formed By The



Graph The S Y 2x Y X 6 Gauthmath



Draw The Graphs Of 2x Y 6 And 2x Y 2 0 Shade The Region Bounded By These Lines And X Axis Find The Brainly In



Solution Plot The Graph Of The Equations 2x 3y 6 And 2x Y 10 And Interpret The Result



Draw The Graph Of 2x Y 6 And 2x Y 2 0 Shade The Region Bounded By These Lines And X Axis Find The Area Brainly In



Q3d 3x Y 2 0 2x Y 8 Solve The Following Simultaneous Equation Graphically



Vocabulary 4th By Jose Antonio Tarifa Garzon Issuu



Which Of The Following Pairs Of Linear Equations Are Consistent Inconsistent Consistent Obtain The Solution Graphically 2x Y 6 0 4x 2y 4 0 From Mathematics Pair Of Linear Equations In Two Variables Class 10 Cbse



2x Y 6 0 4x 2y 4 0 Solve By Substitution Elimination And Graph Maths Pair Of Linear Equations In Two Variables Meritnation Com



Draw Graph For Y 2x Mathematics Topperlearning Com 5hm171bb



Graphically Solve The Following Pair Of Equations 2x Y 6 And 2x Y 2 0 Find The Ratio Of The Areas Youtube



Draw The Graphs Of The Equations 4x Y 8 0 And 2x 3y 6 0 Pair Of Linear Equations In Two Variables Maths Class 10



Solve The System Of Equation By Graphing 2x Y 6 X 2y 2 Mathskey Com



Draw The Graphs Of The Following Equations 2x 3y 6 0 2x 3y 18 0 Y 2 0 Find The Vertices Of The Triangle So Obtained Also Find The Area Of The Triangle Mathematics Shaalaa Com



Find Out Whether 2x Y 6 0 And Lido



How To Solve And Graph Y 6x 3 Quora



How Do You Graph The Equation 3y 2x 6 On A Coordinate Plane Socratic



8 Draw The Graphs Ofthe Equations 2x Y 6 And 2 Gauthmath



The Graph 2x 3y 6 Is Represented By Which Of The Class 9 Maths Cbse



Ex 6 2 6 Solve 2x 3y 6 Graphically Chapter 6 Class 11



1 Find The Volume Of The Solid Generated By Revolving The Region Bounded By The Graphs Of Y 6 2x X 2 And Y X 6 About A The X Axis B



Draw The Graphs Of The Following Equations 2x 3y 6 0 2x 3y 18 Y 2 0 Sarthaks Econnect Largest Online Education Community



Draw The Graph Of 2x Y 6 And 2x Y 2 0 Shade The Region Bounded By These Lines And X Y Find The Area Of The Shaded Region



Graphing Linear Equations Lesson



Q Tbn And9gcq4veczzipyr Ffqkunhrw6gjd1yw8ock1fxwtna67kjb6rtcev Usqp Cau



7 5 Inequalities And Graphing



Ex 4 1 Q2h 2x Y 6 4x 2y 4 Check Whether The Following Equation Are Consistent Or


0 件のコメント:
コメントを投稿